Negocios respetuosos con el medio ambiente – Sustentabilidad


Probablemente sea la primera vez que escuchan el nombre Ray Anderson. Sin embargo, en el mundo de la sustentabilidad, Ray Anderson es conocido como uno de sus padrinos. Es Ingeniero Industrial y desde 1973, CEO y fundador de la empresa de alfombras modulares más grande del mundo llamada Interface.

A pesar de que Interface forma parte de una industria altamente dependiente del petróleo, tanto a nivel de materiales como de energía, en 1995 Anderson se comprometió a dar el ejemplo y llegar al año 2020 con un impacto nulo sobre el medio ambiente.

Esto implica no dejar huella alguna, como si Interface no existiera a nivel ambiental, alcanzando lo que él mismo denomina la «Cima del Monte Sustentabilidad«. Para cumplir dicha misión, Anderson tomó conciencia de la necesidad de encontrar alternativas al sistema clásico de producción industrial consistente en «extraer, fabricar y desechar» que actualmente domina nuestra civilización.

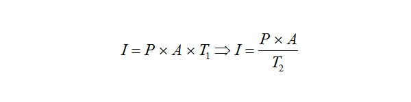
Utilizando la ecuación de impacto ambiental de Paul y Anne Ehrlich:

I = P x A x T

En la cuál:

I = Impacto ambiental

P = Población

A = afluencia

T = Tecnología

desde Negocios respetuosos con el medio ambiente – lanacion.com.

Ray Anderson sobre la lógica de negocio de la sustentabilidad

Sustentabilidad, una meta necesaria – Especialistas


Arquitecta Julia ScottLa arquitecta Julia Scott

Por María Julia Scott
Especial para LA NACION

Se calcula que las construcciones son responsables en gran medida de la producción de residuos, polución del aire y consumo de energía. Es por eso que aplicar criterios sustentables no sólo al desarrollo de la obra, sino también estrategias que logren disminuir el impacto de la operación del edificio terminado al medio ambiente, a lo largo de su vida útil, es hoy por hoy una meta necesaria y también posible de alcanzar.

Si bien la sustentabilidad no nace con LEED, este es uno de los sistemas de calificación más difundidos mundialmente, con más de 47.527 proyectos registrados para certificar bajo sus normas. LEED ha demostrado ser una herramienta eficaz para medir y evaluar la performance en sustentabilidad de los edificios.

desde Sustentabilidad, una meta necesaria – lanacion.com.

Tecnología a imagen y semejanza de la naturaleza – Sustentabilidad


Por Rodrigo Herrera Vegas
Para lanacion.com

Acorde con Wikipedia, la biomimética es como un concepto que examina la naturaleza, sus modelos, sistemas, procesos y elementos para emularlos e inspirarse de ellos, con el objetivo de resolver problemas humanos de manera sustentable. La literatura científica la define de forma frecuente como el proceso de entender y aplicar principios biológicos a diseños humanos. Es un concepto antiguo que está actualmente regresando al pensamiento científico a través de personas como Janine Benyus y Paul Hawken .

Como explica Janine Benyus, la naturaleza viene respaldada por 38.000 millones de años de investigación y desarrollo, y por 10 a 30 millones de especies bien adaptadas, cada una de ellas afrontando el desafío de supervivencia

Los actuales sistemas de fabricación consisten en «calentar, golpear, tratar». Por ejemplo, la fabricación tradicional de la cerámica requiere de altas temperaturas mientras que la naturaleza crea materiales ensamblando átomos como si fueran ladrillos utilizando una mínima cantidad de energía como en la formación de perlas por los caracoles. La vida aporta información a la materia.

Imaginemos rociar organismos precursores de un panel fotovoltaico sobre nuestros techos para que luego este «panel» se vaya autogenerando, en vez de tener que crear paneles que requirieron calentar silicio a más de 2000 grados centígrados.

Las innovaciones que se lograrán con este tipo de enfoque son realmente sorprendentes. Un ejemplo tangible es el aire acondicionado inspirado en las termitas que se aplicó en el edificio Eastgate en Harare, Zimbabwe. Diseñado por el arquitecto Mick Pearce , «El hormiguero» abrió sus puertas en 1996 y ofrece 5600 m² de espacio comercial, 26.000 metros cuadrados de oficinas y 450 cocheras. Fue modelado según los montículos auto-refrigerantes de las «termitas macrotermes michaels» . Estas termitas mantienen temperaturas dentro de su nido a un máximo de 1°C de variación de 31°C, es decir que la temperatura nunca baja de 30°C o sube de 32°C aunque la temperatura exterior varíe entre 3°C a la noche y 42°C de día.

Rodrigo Herrera Vegas es co-fundador de sustentator.org

desde Tecnología a imagen y semejanza de la naturaleza – lanacion.com.

Lo que dejó el mes del diseño – Buenos Aires, Argentina


Mes del Diseño, Buenos Aires
Mes del Diseño, Buenos Aires

Diseño / Industrial / Mes del Diseño

Con 130 actividades simultáneas el Mes del Diseño sirvió como tubo de ensayo para medir a Buenos Aires como sede del Festival Internacional de Diseño 2010. La sustentabilidad fue el plato fuerte.

Vivian Urfeig .

Pasó octubre, quedó el diseño. Con más de 130 actividades simultáneas el Mes del Diseño dio cuenta de la fuerza y la convocatoria que tiene la disciplina en Buenos Aires. El Centro Metropolitano de Diseño (CMD) organizó desde presentaciones, instalaciones, exposiciones y eventos interdisciplinarios, hasta visitas a estudios y fábricas, lanzamientos de productos, seminarios, conferencias y workshops. El variado cronograma dio cuenta de la diversidad de manifestaciones que validan el título otorgado por la UNESCO en 2005, cuando designó a Buenos Aires Ciudad de Diseño e integrante de la Red de Ciudades Creativas del planeta.
Además de haber funcionado como una plataforma ideal para mostrar novedades, generar redes y vincular a estudiantes y profesionales con algunos sectores de la industria, el evento sirvió para cocinar un plato fuerte: Buenos Aires como sede del Festival Internacional de Diseño 2010. Los organizadores confían en que la ciudad está a la altura de su Bicentenario y puede festejar de local. En este sentido, Enrique Avogrado, Director General de Industrias Creativas y Director General de Comercio Exterior (organismos de los que depende el CMD) se dedicó a testear y comprometer instituciones, diseñadores y organismos vinculados a la aplicación del diseño en el desarrollo económico, un eje clave de su gestión. «Me interesa focalizar que tanto industria como servicios se lean como sinónimo de agregación de valor, en función del armado y la proyección a futuro del festival internacional», le dijo a ARQ.

El entusiasmo por lo que viene se basa en las múltiples entradas que ofreció el Mes del Diseño para empaparse de tendencias locales e internacionales. Sin dudas, la identidad verde se posicionó como adn del diseño local y tuvo en la muestra Integrando al Futuro su ejemplo más contundente. Los productos, conceptos y prototipos que se exhibieron en el CMD comparten una identidad ecológica. La temática de la sustentabilidad fue el eje de los procesos productivos y los productos realizados con materiales nobles, de bajo impacto ambiental y extensa vida útil.La familia de cuencos térmicos en porcelana y cuero, de Optimo Design (Cristian Cavallini y Marcos Donatti), obtuvo el primer premio de $7.000 que otorgó por orden de méritos la Fundación Banco Ciudad a los participantes de la muestra. El segundo, de $3.000, fue pare el kit de cartera, bolso y monedero en fieltro Mamushka, del estudio Planar (Lucila Flombaum, Natalia y Pablo Di Muzio). Realizado en fieltro de lana industrial biodegradable, genera el mínimo desperdicio a partir del aprovechamiento total del material. También se llevaron aplauso, medalla y beso una cocina solar portátil, un generador eólico de campaña y un set de almohadones, puff y alfombras en scrapp de algodón (Azzularq). «Para que a largo plazo el diseño resulte viable es indispensable que se mueva en los ejes ambiental y social, además del económico», subrayó Anabella Rondina, coordinadora del Area de Gestión de Diseño del CMD.

desde Lo que dejó el mes del diseño.

Diseños sustentables

Berto González Montaner. Editor jefe ARQ

bmontaner@clarin.com

El diseño inundó Buenos Aires durante el mes de octubre con más de 130 actividades que convocaron a diseñadores nacionales e internacionales y estudiantes. Según Enrique Avogadro, director general de Industrias Creativas, el éxito de esta movida da impulso cierto a la iniciativa de que Buenos Aires sea sede del Festival Internacional de Diseño 2010. ARQ hizo su aporte presentando dni#6 y d: Archivo de diseño, un nuevo coleccionable dedicado al diseño industrial, gráfico y de indumentaria y textil que ya cosechó elogios entre los especialistas (página 13). Hoy presenta su segunda entrega con fichas sobre la Bauhaus, Philippe Starck, Stefan Sagmeister y Giorgio Armani, entre otras.

Una sinergia entre la energía hidráulica y eólica – Sustentabilidad


Esquema general de funcionamiento Foto: sustentator.org
Esquema general de funcionamiento Foto: sustentator.org

Por Rodrigo Herrera Vegas
Para lanacion.com

Hace unos días fui a tomar un café con el ingeniero argentino Enrique Covas. Me estuvo contando sobre un concepto innovador que viene pensando hace varios años, y que podría ser una solución interesante para mejorar nuestra matriz energética, primordialmente orientada hacia los combustibles fósiles.

La energía eólica , como muchos saben, es una de las energías más «limpias» disponibles en la actualidad, y la Argentina tiene numerosas regiones consideradas dentro de las mejores del mundo. Sin embargo, presenta algunos inconvenientes

El primero es que el viento es discontinuo. Si imaginamos un pueblo alimentado exclusivamente por energía eólica en un lugar caribeño, solamente tendríamos electricidad entre el mediodía y el atardecer cuando soplan los vientos alisios.

Para tener electricidad a la noche se tendría que almacenar la energía de alguna forma . En las instalaciones hogareñas, se utilizan típicamente bancos de baterías de camiones o automóviles aunque a gran escala este sistema es impracticable y contaminante.

Otro inconveniente menos conocido de los molinos eólicos es que la electricidad producida suele ser de mala calidad en términos de frecuencia. La electricidad que consumimos proveniente de la red es de tipo alterna, es decir que cambia su polaridad de positiva a negativa varias veces por segundo. En Argentina lo hace 50 veces, por eso nuestra electricidad se define como 220V 50Hz. Todas las generadoras de electricidad del país que se encuentran en la red interconectada deben no solo producir electricidad a esta frecuencia de 50Hz sino hacerlo en sincronismo.

desde Una sinergia entre la energía hidráulica y eólica – lanacion.com.

Más información sobre la temática en Sustentator.org

¿Llegó la hora de la geoingeniería? – Por Nora Bär


La semana última se realizó en Buenos Aires una reunión convocada por el capítulo argentino del Club de Roma que, bajo un título un tanto formal («Jornadas de reflexión sobre la conservación del sistema terrestre«), propuso a especialistas de diversas disciplinas abordar la discusión sobre un tema lo suficientemente audaz (e inquietante) como para evocar imágenes de la ciencia ficción: la geoingeniería terrestre; es decir, la manipulación deliberada y en gran escala del medio ambiente planetario. En este caso, ya que el foco estaba puesto en nuestra región, del cono sur de América latina.

Como reconoció en la apertura el doctor Osvaldo Canziani, integrante del Panel Intergubernamental de Cambio Climático de las Naciones Unidas, «el desarrollo actual de la sociedad humana está dominado por «huellas ecológicas» que exceden la capacidad de producción de los sistemas naturales». Una huella ecológica compatible con la actual capacidad terrestre correspondería a 2 hectáreas por persona. Los países desarrollados llegan a exceder las 11 por individuo, precisó Canziani.

desde ¿Llegó la hora de la geoingeniería? – lanacion.com.

La torre más alta de Europa, con 'luz verde' | Sustentabilidad


Proyecto de la Torre Okhta | Inhabitat
Proyecto de la Torre Okhta | Inhabitat

EL RASCACIELOS SERÁ UNO DE LOS MÁS SOSTENIBLES DEL MUNDO

  • El diseño de Okhta se basa en el concepto de la energía en el agua
  • El edificio contará con ventilación natural e iluminación obtenida a partir de la luz solar
  • La torre medirá 403 metros de altura y costará alrededor de 1,3 millones de euros
DPA | Raquel G. Risco

MADRID.- El proyecto de la llamada Torre Okhta, el rascacielos de San Petersburgo que promete ser uno de los más sostenibles del mundo y el más alto de Europa, finalmente, saldrá adelante a pesar de las numerosas protestas de las que ha sido víctima, según ha informado la agencia de noticias Interfax.

La gobernadora de esta ciudad declarada Patrimonio de la Humanidad por la UNESCO, Valentina Matvinyenko, ha autorizado por fin su construcción. Todo, después de que Kremlin rechazara las críticas lanzadas por los defensores del patrimonio monumental y basadas en que este rascacielos empañará el perfil histórico de la antigua ciudad de los zares.

Según afirman los expertos, la segunda ciudad más grande de Rusia después de Moscú podría perder el título de patrimonio mundial, pero Matviyenko defiende que cada época tiene su arquitectura y afirma que la torre no se verá como una más de las principales atracciones turísticas de la ‘Venecia del Norte’.

desde La torre más alta de Europa, con ‘luz verde’ | elmundo.es.

Torre Okhta – polemica en el perfil urbano de San Petersburgo

Perspectivas
MOSCU (dpa). -Pese a las numerosas protestas, el polémico rascacielos de 403 metros que albergará la sede del grupo gasístico estatal Gazprom en San Petersburgo finalmente sí se construirá, informa hoy la agencia de noticias Interfax.
Valentina Matvinyenko, gobernadora de la ciudad declarada Patrimonio de la Humanidad por la Unesco, autorizó hoy la construcción de la
torre Okhta. Además, las críticas de defensores del patrimonio monumental sostienen que el rascacielos empañará el carácter histórico de la antigua ciudad de los zares. La torre estará construida en 2016 y costará alrededor de 1,3 millones de euros (1,9 millones de dólares).

lanacion.com | Arquitectura | Miércoles 7 de octubre de 2009

Rizhao, la 'ciudad solar' china | Sustentabilidad


Paneles en los tejados de Rizhao | ELMUNDO.ES
Paneles en los tejados de Rizhao | ELMUNDO.ES
RECIBE EL PREMIO HÁBITAT DE LA ONU POR PROMOCIONAR LAS RENOVABLES
  • El gobierno local obliga a que todas las viviendas construidas incorporen paneles solares
EFE

PEKÍN.- Rizhao en chino mandarín significa ‘iluminada por el sol’, y la ciudad que con este nombre se erige en la provincia oriental china de Shandong, la que mayor uso hace de la energía solar en el país asiático, parece haber decidido que su topónimo se cumpla a rajatabla.

En 1992, cuando el Gobierno central chino no mostraba preocupación alguna por la degradación medioambiental del país, esta localidad costera de tres millones de habitantes decidió aprovechar mejor el sol que había hecho famosas sus playas entre los turistas chinos. Desde entonces, la ciudad obliga a que todas las viviendas construidas incorporen paneles solares, por lo que el 99% de su distrito central utiliza calentadores de agua alimentados por los rayos del sol.

Prácticamente toda la iluminación pública y los semáforos de Rizhao también se alimentan de energía solar, algo inédito en un país que usa materias primas altamente contaminantes (el carbón y el petróleo) en el 70 por ciento de los casos y que por ello es el mayor emisor de dióxido de carbono del mundo.

La ciudad tiene más de 500.000 metros cuadrados de paneles solares, y pese a ser uno de los 10 puertos que más carga mueven en el gigante asiático -una actividad que en ciudades como Shanghai o Cantón atrae la industria y con ello la contaminación- es también una de las 10 mejores localidades en cuanto a calidad de aire, según el Ministerio chino de Medio Ambiente.

desde Rizhao, la ‘ciudad solar’ china | elmundo.es.

Cómo reinventar la rueda para un transporte sustentable – Innovación


Green Wheel – Scenario Intro from MIT Mobile Experience Lab on Vimeo.

La bicicleta es sin duda el medio de transporte noble por excelencia: no emite gases de efecto invernadero, ni sonidos molestos? tan sólo ese característico y agradable clic-clic de la cadena al dejar de pedalear. A su vez, también proporciona beneficios para la salud de sus usuarios gracias al ejercicio físico realizado. Tal es así que numerosas ciudades europeas, como Copenhague (donde tendrá lugar la cumbre sobre el medio ambiente al final de este año) y Paris, están nuevamente otorgándole gran protagonismo.

Sin embargo, la bicicleta no siempre es una opción viable. Por un lado, requiere contar con una infraestructura urbana que permita a los ciclistas trasladarse de manera relajada y segura sin la necesidad de tener ?ojos en la nuca? para evitar autos, colectivos y motos. Por el otro, según las distancias a recorrer y la temperatura ambiente, no siempre se tiene la posibilidad de tomar una ducha al llegar al lugar de destino.

El «Green Wheel» puede ser una solución interesante a estas limitaciones dado que agrega algo de potencia eléctrica a la bicicleta. Este sistema incorpora un disco, del diámetro de un plato de postre de cinco centímetros de ancho, a la rueda trasera junto a un acelerador. Fue desarrollado por investigadores del Instituto de Tecnología de Massachusetts ( Massachusetts Institute of Technology , MIT según sus siglas en inglés). En el interior del disco se encuentran un motor eléctrico, una batería de litio y un receptor inalámbrico basado en tecnología Bluetooth.

desde Cómo reinventar la rueda para un transporte sustentable – lanacion.com.

El Toyota Prius, un vehículo híbrido que emplea el uso de combustible fósil y una batería eléctrica - Foto: Toyota
El Toyota Prius, un vehículo híbrido que emplea el uso de combustible fósil y una batería eléctrica - Foto: Toyota

Las baterías de los autos híbridos, bajo el microscopio

Por Rodrigo Herrera Vegas

La nanotecnología está logrando avances sorprendentes en diversas áreas de la ciencia. Se define como un campo de las ciencias aplicadas dedicado al control y la manipulación de la materia a una escala menor que un micrómetro, o sea una milésima de milímetro. A este nivel, se están manejan directamente átomos y moléculas.

Existen numerosos ejemplos de nanotecnología aplicada a la sustentabilidad y si bien los desarrollaremos más profundamente en las próximas semanas, citaremos algunos de ellos. Las nanoestructuras, como los «aero-gels» por ejemplo, fueron descubiertas en 1931 y ayudan a conservar energía gracias a su aislación. Además de ser ultra-livianos, son hasta 8 veces más efectivos que la lana de vidrio o espumas de polímero.

A su vez, las celdas solares orgánicas, basadas en nanopartículas y polímeros, estarán pronto disponibles en el mercado e irán reemplazando gradualmente a sus pares de silicio. Estas son mucho más fáciles de fabricar y su flexibilidad aumenta considerablemente las posibilidades de aplicación, como por ejemplo poder colocarlos en el techo de los automóviles.

lanacion.com | Tecnología | Sábado 3 de octubre de 2009

Casa FOA 2009: un recorrido por «La Casa Sustentable» | Paisajismo


CasaSustentable_1065506

Matilde Oyharzabal y Daniel de Souza recrearon un espacio al aire libre con una línea amigable con el medio ambiente.

El proyecto está basado en la reutilización de un container como vivienda sustentable. El reciclado del habitáculo está intencionado con el fin de generar el menor impacto posible al medio ambiente.

Se utilizan, en su totalidad, principios de construcción sustentable, utilizando materiales amigables al medio ambiente tanto desde su materia prima como su proceso de fabricación. La utilización de paneles de energía solar ayuda a reducir la demanda de energía de la vivienda acercándola al ideal de la autosustentabilidad.

El container, que presenta una vivienda de 24m2 es configurable según el uso y necesidad de sus habitantes, y está compuesto por un living / home theater, cocina / comedor, baño, vestidor, home office / dormitorio y terraza.

La terraza posee una fina capa de piedras y césped que filtra el agua de lluvia para ser reutilizada en los servicios de la casa y al mismo tiempo genera una capa de aislamiento térmico.

La visual del sitio, desde el pasillo de acceso entre las tribunas del Hipódromo, está inducida por dos jardines verticales laterales que convierten al container en un verde protagonista.

desde Casa FOA 2009: un recorrido por «La Casa Sustentable» | Revista Jardín.

Casa FOA: Edición de plata – Buenos Aires, Argentina

Casa FOA abre hoy sus puertas en el hipódromo de Palermo – Inauguración / Un paseo para toda la familia

Expertos de la ONU dicen que crear edificios ecológicos mitigaría el cambio climático | Sustentabilidad


POLÍTICAS MEDIOAMBIENTALES
  • Los edificios hechos pensando en el ahorro energético pueden reducir el consumo un 90%

EFE

GINEBRA (SUIZA).- Los edificios consumen de media un 40% de la energía de las ciudades que, por sí solas, generan el 40% de las emisiones totales de gases de efecto invernadero, es por ello que es esencial crear inmuebles ecológicos. Eso es, al menos, lo que han concluido expertos de la ONU y representantes de varias ciudades que han participado en el seminario ‘Ciudades climáticamente neutras‘.

En el evento se ha debatido sobre la ausencia de políticas medioambientales bien estructuradas en la planificación urbana, y sobre la necesidad de construir edificios ecológicamente eficaces.

«En Europa, los edificios consumen el 40% de la energía de las ciudades, en Estados Unidos el 38%y en Nueva York (EEUU) el 80 %, por ello es esencial modificar nuestros inmuebles para hacerlos más eficaces y poder reducir el consumo de energía«, señaló Paul Rode, ejecutivo de proyectos de la empresa Solutions Division of Johnson Controls, Inc., responsable de la renovación del Empire State Building.

«Actualmente contamos con las soluciones técnicas necesarias para lograr una revolución ecológica en el siglo XXI, sólo debemos ponernos manos a la obra en todos los ámbitos y especialmente en el área de la vivienda para poder tener un planeta viable en el futuro», afirmó, a su vez, Charles Magnier, director de la ONG francesa Prioriterre y creador de ‘La maison pour la planete’, un centro dedicado a la producción y el consumo sostenible de la energía.

desde Expertos de la ONU dicen que crear edificios ecológicos mitigaría el cambio climático | elmundo.es.

En busca del ladrillo verde… 3.000 años después | Sustentabilidad


Los nuevos ladrillos 'verdes' | Reuters
Los nuevos ladrillos 'verdes' | Reuters
CONSUMEN ENTRE UN 80 Y UN 90% MENOS DE ENERGÍA EN SU ELABORACIÓN
  • Una firma de Silicon Valley desarrolla ladrillos ecológicos de ceniza en lugar de arcilla
  • La empresa tiene previsto vender 12 millones de unidades durante el primer año

REUTERS

NEWARK (CALIFORNIA).- Silicon Valley se ha tomado en serio la búsqueda del ladrillo de bajo consumo. Un ladrillo ecológico cuya fabricación sea respetuosa con el medio y reduzca el consumo de energía. Todo casi 30 siglos después de su invención.

La firma californiana Calstar Products es la responsable del desarrollo de este nuevo tipo de ladrillo que usa hollín procedente del carbón quemado en las centrales eléctricas en lugar de arcilla como ingrediente básico. «Creemos que ha llegado la hora de la segunda revolución industrial«, dice Paul Holland, socio de Foundation Capital, que ha invertido siete millones de dólares en Calstar.

Normalmente, los ladrillos se ‘cuecen’ a 1.093 grados centígrados durante 24 horas dentro de un proceso de fabricación que puede durar hasta una semana. Pero ‘eco-ladrillos’ se calientan a una temperatura por debajo de los 100 grados y durante 10 horas, menos de la mitad del tiempo acostumbrado.

Así, el proceso de elaboración de los ladrillos ‘verdes’ requiere de un 80 a un 90% menos de energía y emite un 85% menos de gases que provocan ‘efecto invernadero’ que con el método tradicional, según aseguran en Calstar.

Expansión del negocio

La fábrica de ladrillos ‘verdes’ de Calstar entrará en funcionamiento antes de final de año. En principio, se dedicará a la elaboración de ladrillos de fachada, usado en el exterior de los edificios. Por otro lado, la firma tiene intención de expandir su negocio hacia el mercado de adoquines, tejas y ladrillos de otros mercados.

desde En busca del ladrillo verde… 3.000 años después | elmundo.es.

Así se hace un ladrillo

Diseña un sitio como este con WordPress.com
Comenzar